BİLGİLER:
Bebek İzlem
Aşı Uygulamaları
Gebe Takibi
Aile Planlaması
Laboratuvar
Raporlar
Ad Soyad
E-Mail
Konu
Mesajınız
Adres :
Fatikli Mahallesi
Hastane Cad. No:4
Altınözü / HATAY
Telefon :
+90 (326) 311 3026
Email:
info@altınozu1noluasm.com.tr
İletişim
Kapat
Yukleniyor...
ANA SAYFA
KURUMSAL
HAKKIMIZDA
MİSYONUMUZ
VİZYONUMUZ
HİZMET STANDARTLARI
ÖNCELİKLİ HASTALAR
HASTA HAKLARI
HİZMET POLİTİKAMIZ
KADROMUZ
DOSYA & GALERİ
FOTO GALERİ
EĞİTİCİ VİDEOLAR
ASM TALİMATLARI
YARARLI DOSYALAR
İLK YARDIM
SİGARANIN ZARARLARI
LİNKLER
Sağlık Bakanlığı
Türkiye Halk Sağlığı Kurumu
Hatay ValiliÄŸi
İl Sağlık Müdürlüğü
Halk Sağlığı Müdürlüğü
Aile HekimliÄŸi
Aile Hekimim Kim?
İLETİŞİM
Ulaşım ve Telefon Bilgilerimiz
Doktorunuza Sorun
ARAMA YAP
Online Hizmetler
VERDİĞİMİZ HİZMETLER
Aile Sağlığı Merkezimizde Verilen Hizmetlerin Listesi
Buraya
İçin Tıklayınız.
ÇALIŞMA SAATLERİMİZ
Hekimlerimizin Çalışma Saatleri İçin
Buraya
Tıklayınız.
VATANDAŞ REHBERİ
Aile Sağlığı Merkezimizde İşlemleri Nasıl yapabileceğinize Dair Bilgilere
Buradan
UlaÅŸabilirsiniz.
HİZMET STANDARTLARI TABLOSU
Hizmet Standartları Tablosu İçin
Buraya
Tıklayınız.
DOKTORUNUZA SORUN
Aile Hekiminize Soru Sormak İçin
Buraya
Tıklayınız.
Ana Sayfa
>
Çalışma Saatlerimiz
[Geri]
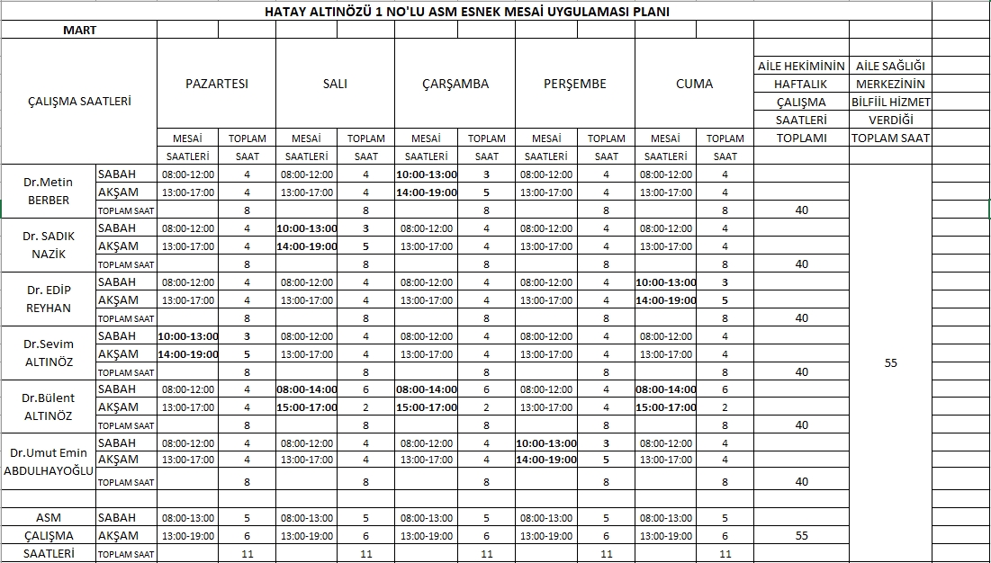
Çalışma Saatlerimiz
ALTINÖZÜ 1 NOLU AİLE SAĞLIĞI MERKEZİ ÇALIŞMA SAATLERİ
------------------------------------------------------------------------------------------------------------------
HAFTA İÇİ HERGÜN
08:00 - 19:00 SAATLERİ
ARASINDA HİZMET VERMEKTEDİR.
TALİMATLAR
Aşı, Acil Dolabı, Yangın, Tıbbi Atık, Genel Temizlik ve Diğer Tüm Talimatları İncelemek İçin Tıklayınız
detaylı bilgi için tıklayınız
ANA ve ÇOCUK SAĞLIĞI
Ana ve Çocuk Sağlığı Hakkında Bilinmesi Gereken Bilgileri İncelemek İçin Tıklayınız
detaylı bilgi için tıklayınız
ULAŞIM ve TELEFON BİLGİLERİMİZ
Aile Sağlığı Merkezimiz, Adres, Telefonlar ve Google Haritası İçin Buraya Tıklayınız...
Ulaşım İçin Tıklayınız
GiriÅŸ
GiriÅŸ